本文来源自公众号:激光制造研究

导读
焊接过程中复杂的传热传质行为影响着焊缝的微观组织分布,决定了焊缝的使用性能。研究了2195-T8铝锂(Al-Li)合金激光深熔焊接(DPLW)过程中的组织分布。采用宏观热质传递与微观组织演化相结合的多尺度模拟方法研究了微观组织的形成机理。实验结果表明,Al-Li合金DPLW中组织沿深度方向分布严重不均匀。宏观模拟结果表明,熔池在熔池上部和下部存在两个流动循环。与上部相比,熔池下部熔体波动较大,流动速度较大(>0.4m/S),凝固冷却速度较大(6540K/S)。流体流动和换热在DPLW过程中起着重要的作用。它们导致不同位置的颗粒具有不同的形核机制和生长过程。不同的形核速率会在焊缝的同一位置产生不同的ECET现象和不同的晶粒形态。当形核率较低时,晶粒度较大,并形成高阶枝晶。这些研究结果为改善中厚铝锂合金焊缝组织分布提供了理论和技术依据。
方法
采用100 mm×25 mm×8 mm轧制的2195-T8合金。表1列出了由ICAP-OES(ICAP 7200)测试的母材(BM)的化学成分。激光焊接设备如图1(A)所示。激光焦点直径为0.5 mm。为了更好地研究Al-Li合金DPLW中的组织分布,选择了典型的单一激光焊接工艺参数(不加焊料)(表2)。这些工艺参数可获得铝合金厚板焊接中常见的部分熔透焊缝。在此参数下,保证了焊接过程即使在不同的波动条件下也不会穿透BM。对于熔深焊,一旦小孔和熔池到达BM背面,坍塌非常严重。这导致接头不能直接使用。采用光学显微镜(OM)、扫描电子显微镜(SEM)、电子探针显微分析(EPMA)和背散射电子衍射(EBSD)对焊接后的组织进行了表征。在100g载荷下,对S试件进行了15次显微硬度测试。拉伸试验样品用Instron 8801以1.0 mm/min的速度进行测试。



DPLW涉及多种复杂的物理现象和多相现象。宏观传热传质模型示意图如图1(B)所示。采用类高斯轴对称分布来模拟激光光束热源

其中Q(x,y,z)是热流密度,Q是激光功率,RZ是激光光束的半径。激光被分成几束光线,小孔的深度可以通过多次反射来增加。小孔壁通过菲涅耳吸收吸收了激光束产生的入射能量。吸收比Ra计算如下:

其中ε是多次反射中的系数,φ是入射光线和曲面法线向量之间的角度。模拟中使用的热源参数如表3所示

模拟的控制方程表示为:连续性守恒方程:

动量守恒方程:

能量守恒方程:

式中,ρ、u、μ、P、h、T和λ是密度、速度矢量、动力粘度、压力、热焓、温度和导热系数。G是重力加速度。F是能量和体力的源项,SE是能量源项。
流体体积(VOF)方法用于跟踪液气自由面:

式中f是晶胞中的体积分数。当电池充满液体时,f=1。
固/液混合区中相分数的函数计算如下:

其中,FS是固体分数,FCO是凝聚点,而FCRI是临界固体分数。
在这项研究中,使用Boussinesq近似来模拟浮力:

其中β是热膨胀系数。表面张力和Marangoni应力表示为T的函数:

其中γL是TL的表面张力。基于Clausius-Clapeyron方程的后坐压力由下式给出:

式中,Fr、P0、Lv、M、Tb、R为反冲压力、大气压、汽化潜热、原子质量、沸腾温度和普适气体常数。小孔内的金属蒸气剪应力表示如下:

其中ρg为蒸汽密度,Vg为蒸汽速度,θ为气液界面与速度的夹角,Re为雷诺数。
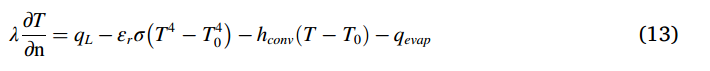
模拟的边界包括两部分:计算区域边界和液/气自由面。液/气自由面热边界表示为:


其中QL为激光表面热流密度,σ为Stefan-Boltzmann常数,εr为辐射发射率,T0为环境温度,hconv为对流系数。Qevap是蒸发热损失,不用于计算区域边界。H*是以音速流动的水蒸气的焓。HLV是蒸发潜热,γC是比例。对于计算区域边界,热边界表示为:

计算域尺寸设定为60×20×11 mm3。该计算域沿z轴分为两部分:(1)工件层(8 mm),(2)环境空气层(3 mm)。网格总数约为240万个,模拟采用Flow-3D 11.2v进行。本研究使用的工作站配备AMD Ryzen Threadripper 3970X 32核处理器。模拟区域长度足够长,可以获得更加真实、稳定的熔池。2195的物理性质采用Jmatpro计算,该软件致力于精确计算材料性质(表4)。本研究忽略了元素损失的影响。

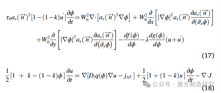
本研究采用了 Takaki 和 Ohno 提出的相场 (PF) 模型 [16,17]。序参数 φ 在固体 (+1) 和液体 (- 1) 中具有常数值(图 1(c))。φ 和 u(无量纲过饱和度)的控制方程如下:

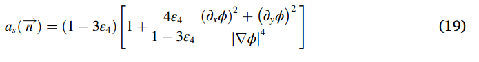
等式 (17) 表示 PF 的时间演变。τ0 = a2λW0/Dl 是弛豫时间。W0 是界面厚度参数。λ = a1W0/d0 是与热力学驱动力相关的耦合常数。数值常数 a1 和 a2 分别由 a1 = 0.8839 和 a2 = 0.6267 给出。d0 = kΓ/[|m|(1-k)c0] 是化学毛细管长度,其中分配系数为 k,液相线斜率为 m,液相初始浓度为 c0,吉布斯-汤姆森系数为 Γ。as( →n ) 是晶体各向异性,其公式如下:

其中,ε4为各向异性强度。u’ = (T – Ts)/(Tl – Ts)为无量纲温度过冷度。多项式f(ϕ)和g(ϕ)分别为df(ϕ)/dϕ = − ϕ + ϕ3和dg(ϕ)/dϕ = (1 − ϕ2 ) 2 。根据混合规则,局部浓度c为c = [1 + ϕcs + (1-ϕ)cl]/2,其中,cl和cs分别为液相和固相中溶质浓度。cl和cs满足关系k = ce s /ce l = cs/cl,其中,ce s和ce l分别为固体和液体中的平衡浓度。式(18)表示溶质扩散时间方程。无量纲过饱和度u定义为:

l 和 Ds 分别为溶质在液体和固体中的扩散率。jAT 为反俘获电流。q(ϕ) 为插值函数。更详细的描述可参见我们之前的研究 [18]。在本研究中,晶体取向参数 θ 用于刺激多个晶粒的生长。为了不影响晶粒的生长,取向场始终位于界面前方一个网格。
在铸造和焊接加工中,异质形核是晶粒形成的主要机制[。实验表明,铝合金的形核过冷度(ΔTN)约为3.0 K。因此,ΔTN设定为3.0 K。PF模拟中使用的物理参数列于表5中。假设2195合金为稀薄的二元Al-4.0 wt%Cu合金。网格尺寸设定为Δx = 0.025 μm。异质形核粒子的半径等于6Δx,晶粒取向在0至π/2之间随机生成。使用消息传递接口(MPI)通过多CPU并行计算加速模拟。

主要图表















主要结论
(1)铝锂合金双相熔焊过程中组织分布沿深度方向不均匀,焊缝上、下部均存在等轴晶-柱状晶-等轴晶转变(ECET)现象,不同形貌晶粒的混合区零星分布在焊缝上、中、下部,焊缝内存在不同形貌和尺寸的等轴晶粒。
(2)铝锂合金双相熔焊过程中熔池的流动与传热沿深度方向存在较大差异,熔池上、下部存在两个流动环流。与上部相比,熔池下部熔液在小孔作用下波动较大(约1000 Hz),流速较大(>0.4 m/s),热对流传热较大(Pe>10),凝固冷却速度较大(6540 K/s)。
(3)不同区域N0含量的差异是FZ区组织分布不均匀的根本原因。不同的形核速率值使得Al-Li合金在DPLW焊缝中产生独特的ECET现象,使同一位置的晶粒微观形貌存在明显差异,形核速率较低时,晶粒尺寸较大,且发育高阶枝晶。
(4)在DPLW过程中传热和流体流动的作用下,Al-Li合金DPLW焊缝组织的演变和分布变得极其复杂,不同初始位置的未熔形核质点在熔池中具有不同的路径,导致不同位置焊缝组织具有不同的形核机制和生长过程